2 فایل پیوست
ساخت اهم متر توسط آردوینو
شما میتوانید با آردوینو به راحتی یک اهم متر بسازید و از اون استفاده های لازم رو ببرید;);););););)
فایل پیوست 3630
مداری که شما استفاده می کنید بسیار ساده بوده و همه وسایل مورد احتیاج عبارت است از دو مقاومت که مقدار یکی را دانسته و مقدار دیگری نامشخص است و همچنین یک برد آردوینو. اساس کار استفاده از قانون تقسیم ولتاژ است، به این صورت که ولتاژ بین مقاومت معلوم و مجهول را اندازه گیری می کنید.
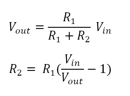
نمای کلی مدار به این صورت بوده و از روابط ریاضی زیر در برنامه استفاده می شود:
فایل پیوست 3631
برنامه زیر را بر روی برد خود آپلود کنید:
int analogPin= 0;
int raw= 0;
int Vin= 5;
float Vout= 0;
float R1= 1000;
float R2= 0;
float buffer= 0;
void setup()
{
Serial.begin(9600);
}
void loop()
{
raw= analogRead(analogPin);
if(raw)
{
buffer= raw * Vin;
Vout= (buffer)/1024.0;
buffer= (Vin/Vout) -1;
R2= R1 * buffer;
Serial.print("Vout: ");
Serial.println(Vout);
Serial.print("R2: ");
Serial.println(R2);
delay(1000);
}
}
در ابتدای برنامه چند متغیر که در ادامه از آنها استفاده می شود، معرفی شده است. در خط پنجم مقدار مقاومت معلوم آورده شده، لذا با توجه به مقاومتی که استفاده می کنید، می توانید آن را تغییر دهید.
ادامه مطلبو میتونید از لینک زیر دنبال کنید
موفق باشید
ساخت اهم متر توسط آردوینو