شما میتوانید با آردوینو به راحتی یک اهم متر بسازید و از اون استفاده های لازم رو ببرید
مداری که شما استفاده می کنید بسیار ساده بوده و همه وسایل مورد احتیاج عبارت است از دو مقاومت که مقدار یکی را دانسته و مقدار دیگری نامشخص است و همچنین یک برد آردوینو. اساس کار استفاده از قانون تقسیم ولتاژ است، به این صورت که ولتاژ بین مقاومت معلوم و مجهول را اندازه گیری می کنید.
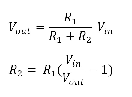
نمای کلی مدار به این صورت بوده و از روابط ریاضی زیر در برنامه استفاده می شود:
برنامه زیر را بر روی برد خود آپلود کنید:
int analogPin= 0;
int raw= 0;
int Vin= 5;
float Vout= 0;
float R1= 1000;
float R2= 0;
float buffer= 0;
void setup()
{
Serial.begin(9600);
}
void loop()
{
raw= analogRead(analogPin);
if(raw)
{
buffer= raw * Vin;
Vout= (buffer)/1024.0;
buffer= (Vin/Vout) -1;
R2= R1 * buffer;
Serial.print("Vout: ");
Serial.println(Vout);
Serial.print("R2: ");
Serial.println(R2);
delay(1000);
}
}
در ابتدای برنامه چند متغیر که در ادامه از آنها استفاده می شود، معرفی شده است. در خط پنجم مقدار مقاومت معلوم آورده شده، لذا با توجه به مقاومتی که استفاده می کنید، می توانید آن را تغییر دهید.
ادامه مطلبو میتونید از لینک زیر دنبال کنید
موفق باشید
ساخت اهم متر توسط آردوینو


1 لایک
LinkBack URL
About LinkBacks




پاسخ با نقل قول